作者:王秦 硕士研究生 中国科学院大学 培养单位:中国科学院物理研究所 审核:贾海强 研究员 中国科学院物理研究所
游泳被誉为最全面的运动之一,在炎炎夏日里尤其受欢迎。Kaiyun中国据中国游泳协会统计,全国游泳运动人口已突破数千万,泳池成了很多人消暑健身的首选去处。游泳属于低冲击全身性运动,可使基础代谢率提升10-20%,持续燃脂可长达数小时。长期游泳可以有效增强心肺功能,水中的浮力也可以帮助预防关节损伤。游泳不仅是一种强身健体的娱乐方式,也是力学在流体环境中的美妙演绎。作为一个经常游泳的人,相信许多人在看着泳池里那些游得飞快的人时,会和小编一样思考:为什么有些人能像鱼一样轻松滑过水面,而有些人用力却原地踏步?为什么专业运动员的出发动作有如此大的爆发力?怎样才能游得更快、更省力?
在正式介绍之前,我们先对游泳运动中的一些术语进行简单介绍。游泳是人在水中依靠肢体动作克服流体阻力、利用流体反作用力实现位移的运动。运动员通过手臂划水、腿部蹬夹产生推进力,同时维持身体姿态以减少阻力。下面就让我们一起从物理的角度重新认识一下这项运动吧。

每次下水前,总有人担心会不会沉下去?。其实,理解浮力的关键不在于体重,而在于排开水的体积。Kaiyun中国
根据阿基米德原理,物体在液体中受到的浮力等于它排开液体所受的重力:F浮=ρ液gV排。泳池里的水密度约1000 kg/m3,当一个人全身浸入水中时,排开水的体积差不多就是身体体积。假设人的质量是60 kg,身体密度约980 kg/m3(比水略小),根据密度公式ρ=m/V,那么体积V=m/ρ≈0.061 m3,排开水的重力G排=ρ液gV排≈1000×9.8×0.061=597.8 N,而体重G=mg=60×9.8=588 N。因为浮力(597.8 N)略大于体重,所以哪怕一动不动,也能轻松浮在水面上。
很多人游不快,不是因为力气不够,而是输给了阻力。阻力的控制不当,是游泳效率低的一个核心问题。水的密度约为空气的800倍,这使得水中运动面临的流体阻力显著高于空气环境。游泳者主要需克服两类阻力:摩擦阻力与压差阻力。
摩擦阻力源于水的粘性效应。水流在固体表面形成边界层,产生与运动方向相反的剪切力。该阻力与湿表面积及表面粗糙度正相关,所以竞技游泳往往采用紧身泳衣并配合体表处理,以使摩擦系数最小化。
压差阻力(形状阻力)则更为关键。根据伯努利原理,压强与流体流速呈反比关系。当物体在水中运动时,迎流面流速减缓、压强增大,背流面形成尾涡、流速增快、压强降低,前后压强差构成阻碍运动的主要阻力。(这与飞机机翼的升力原理正相反)。减小压差阻力的关键途径在于优化身体姿态,使形体接近流线型,降低迎风面积。(类似于鱼和潜水艇)。

比如自由泳时,身体尽量贴近水面,只露出肩部与头顶;比如蛙泳时,收腿尽量控制膝关节外展,划臂后迅速向前伸展,使身体形成一条直线。如果出现姿势偏差,比如抬头挺胸游泳,身体就会变成迎风面,压差阻力会瞬间增大,游起来会更累更慢。

根据肢体运动方向与水流相互作用的方式,产生推进力的动作可分为两类——划水与打腿。通俗地说,划水是指手臂在水中完成入水、抱水、推水的周期性动作;打腿则指下肢通过髋、膝、踝三关节的协调屈伸,对水施加向后下方的蹬夹力。实际的游泳动作通常是上肢划水与下肢打腿的协调配合,下面我们将主要分析蛙泳的动作与受力特征,其他泳姿的分析与之类似。
(a)收腿阶段:大腿向前上收,小腿向臀部折叠,膝关节屈曲,此时水对下肢的作用力方向与前进方向相反,产生阻力;(b)蹬夹阶段:脚掌外翻后向侧后方蹬水,再向内夹水,此时对水的作用力产生向前的反作用力,为推进力主要来源;(c)滑行阶段:身体伸展成流线型,减少迎水面积,以惯性前进。
洪祺丰等人[1]通过多体系统动力学分析及流体力计算模型开发,实现了蛙泳过程流体阻力与肌肉发力模式的定量分析,为高水平游泳运动员训练模式改进和竞技水平提升提供了生物动力学分析方案。

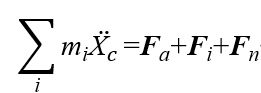
如图四所示,假设C点为人体质心,设人体的质心在地面绝对坐标系中的坐标向量为Xc,各体段质量为mi,再假设受到的流体力三个分量Fa、Ft、Fn。根据牛顿第二定律给出人体动力学方程:


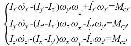
其中,Ix是转动惯量矩阵的沿第一个主方向的特征值,ωx和Mcx代表角速度和力矩沿转动惯量矩阵第一个主方向的分量,以此类推可给出三个主方向的欧拉方程。
将上述体段分别取出,并对其进行受力分析。通过达朗贝尔原理构建包含惯性力Fa、浮力Fb、以及径向拖曳力Ft和轴向拖曳力Fn的受力平衡方程,实现对人体所受流体作用力的建模及求解。微元受力分析如图五所示。

最终,通过对每个微元在纵向上计算的上述所有流体力进行积分,计算出作用在每个体段上的流体力:
通过逆向运动学的求解,可以得出左、右两侧髋、膝屈伸角度随蛙泳动作推进的变化值,并根据参考位置的动力学信息进一步分析发力模式。通过对非定常流体力求解,最终获得运动员不同部位流体力的三维分量。

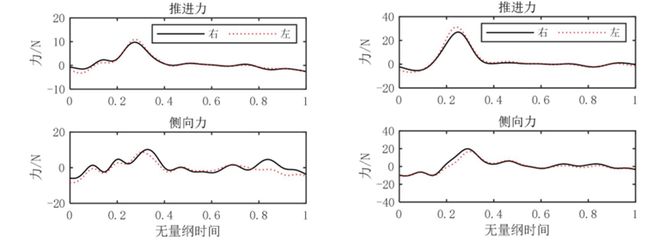
其中:侧向力Fy沿y方向,区分内收、外展受力,可以评估运动员的发力对称性;推进力Fx沿x方向,量化体段的推进效率,可以评估蛙泳动作的作用效果,结果如图七、八所示。


通过对比发现上肢的推进力小于下肢(其中上肢推进力为手部、小臂、大臂体段在前进方向上投影的流体力矢量和),因此下肢是游泳过程中前进的主要动力来源。
其中,小臂受力存在左右侧不对称的现象,进一步计算的肩、肘关节力矩也表现不对称现象,这是由于优势侧、发育等因素导致的不对称普遍存在[2],因此可认为是运动员个性化特征的体现。大腿与小腿推进力左右侧最大差值为4.7 N、9.3 N,大臂与小臂推进力左右侧最大差值为1.8 N、5.3 N。此外,对比小腿的侧向力也可发现此情况。
从前后方向上看,蹬腿过程中小腿所产生的流体作用力最大,其次是大腿。大腿与小腿所受非定常流体力的极值为31.2 N、10.9 N。

其中,以激活度0.1作为肌群激活的判断阈值[3],则股二头肌首先发力,其次是股直肌,再者是阔筋膜张肌,最后是臀大肌。

现代运动科学研究表明,神经肌肉训练可以提升游泳运动的表现[4]。游泳速度不完全取决于力的大小,也取决于肌肉的发力模式。通过优化蹬腿、划水的发力时机与幅度,游泳推进的效率得以提升。这可以延伸至全周期竞技游泳的技术参数优化。同时,竞技游泳的高强度运动易导致关节损伤,且与肌肉、筋膜等软组织损伤有关,以上的研究有助于量化游泳运动中各关节活动范围,关节力矩与肌肉发力阈值等信息,可有效预防游泳运动的慢性损伤。
很多初学者感到换气困难,一抬头就下沉,一吸气就呛水。换气困难往往源于动作幅度过大。核心原理很简单:利用身体旋转或浮力变化,让头部以最小动作露出水面。
对于自由泳:身体侧向滚动时,头部随肩部自然转动(自然露出水面约1/3)即可吸气,无需主动抬头。而抬头时,身体会下沉。这样不仅增加阻力,还需要用更大的力气支撑头部,导致越换越累。
对于蛙泳:划手时,手臂向两侧展开,排开水的体积增大,浮力上升,上半身会自然抬起,这时候抬头吸气刚刚好;如果划手和吸气不同步,等身体下沉后再抬头,就无法借助浮力,自然就困难了。

还有一个小Tips:吸气时要快,呼气时要慢。当头部露出水面时,周围的气压是大气压,而肺部的气压略低,空气会自然流入;而在水里呼气时,水的压强会比大气压大,缓慢呼气能避免水压把水压进气管。
综上所述,游泳的原理并不复杂:浮力托举身体,流线型减少阻力,反作用力驱动前进。而理解了这些,日常练习便有了方向。
最后提醒大家:下水前充分热身,安全永远是第一位的。愿我们都能在水里找到属于自己的节奏。
[4] 陈丁丁.神经肌肉训练对大学生游泳运动员运动表现的影响[D].南京体育学院i.gnjtc.2025.000023.